- Автоматический старт или остановка при изменении давления воды.
- Легкий монтаж и эксплуатация.
- Двигатель с керамическими подшипниками, образующими минимум шумов и повышающими долговечность оборудования.
- Насос с ротором, изолированным от статора, и электродвигателем образует единый узел без уплотнений вала.
- Низкий уровень отказов.
- Корпус насоса с катафорезным покрытием.
- Невероятно тихий и не требующий обслуживания.
- Три режима работы, в том числе автоматический и ручной.
Бытовой насос, предназначенный для повышения давления питьевой воды, подаваемой из внешнего источника в жилых домах. Насосы АИФ увеличивают давление воды для бытового потребления, чтобы обеспечить необходимое давление в душевых кабинах, кранах и других точках отбора.
- Максимальная температура жидкости до +110°С.
- Вал мотора должен находиться в горизонтальном положении.
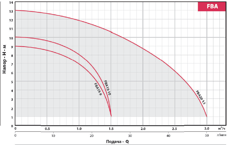
| Модель | Мощность | Вольтаж | Максимальная подача | Максимальный напор | DN | Высота |
| Однофазный | Вт | В | м³/ч | мм | мм | мм |
| FBA15-9 | 100 | 220 | 1.5 | 9 | 20 to 15 | 160 |
| FBA15-10 | 120 | 220 | 1.5 | 10 | 20 to 15 | 160 |
| FBA20-13 | 200 | 220 | 3 | 13 | 25 to 20 | 200 |
